Новости
Технические советы
Практические советы
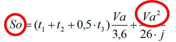
В экспертной практике остановочный путь автомобиля равен квадрату его скорости:

Отсюда следует, чем выше скорость движения автомобиля, тем в разы увеличивается его остановочный путь. Большинство ДТП происходят именно из-за превышения скорости движения автомобиля. Часто водители из-за превышения скорости не имеют технической возможности избежать ДТП. Это и приводит к таким жутким авариям (на фото), которые не редкость на наших дорогах.

Надо всегда помнить, что вероятность попасть в ДТП при увеличении скорости движения возрастает в разы.
Всем удачи! Эксперт-автотехник Кученин И.И.